Vor 100 Jahren Auf der Welle zum Ruhm: Erwin Schrödinger bringt die Quantenwelt zum Beben

Physiker Erwin Schrödinger als Illustration mit Katze
Sein Gedankenexperiment mit einer Katze, die gleichzeitig tot und lebendig ist, hat den österreichischen Physiker Erwin Schrödinger prominent gemacht
© Anja Stiehler
Die Schrödinger-Gleichung bildet das Herz der Quantenphysik. Inspiration fand ihr Entdecker im Winterurlaub

Weihnachten 1925. Der in Zürich lehrende Physiker Erwin Schrödinger hat sich in der Villa Frisia zwischen den verschneiten Bergen im Schweizer Luftkurort Arosa eingemietet. Statt seiner Frau Annemarie, mit der er wieder einmal heftigen Zoff hatte, begleitet ihn eine verflossene Freundin. Eigentlich will er Ski fahren. Doch dazu kommt er kaum, wie er nach seiner Rückkehr berichtet. Der Grund ist nicht sein außereheliches erotisches Abenteuer. Schrödinger rechnet.

Er ist auf der Suche nach einer mathematischen Formel, die Teilchen als Materiewellen beschreibt und das Verhalten des Elektrons im Wasserstoff zu erklären vermag. In Arosa gelingt Schrödinger der wissenschaftliche Durchbruch: Er entwickelt die "Schrödinger-Gleichung", die Schlüsselformel der Quantenmechanik. Kurz darauf, am 27. Januar 1926 veröffentlicht er sie in der Fachzeitschrift "Annalen der Physik“. Seine geniale Idee wird ihm erbitterte Diskussionen einbringen – ebenso wie den Nobelpreis für Physik.

Erwin Schrödinger kommt 1887 in Wien zur Welt. Er ist begabt, studiert Physik und Mathematik, übersteht den Ersten Weltkrieg als Artillerieoffizier. 1920 heiratet er die 23-jährige Annemarie Bertel: Die Schrödingers verstricken sich beide immer wieder in mal schnell wechselnde, mal längerfristige Affären außerhalb ihrer Ehe. Mit einer Geliebten des Physikers – und einer Tochter aus der Beziehung – wird das Ehepaar später sogar unter einem Dach wohnen.

Schrödinger findet zunächst keinen klaren Fokus für seine Forschung. Er arbeitet über Radioaktivität, Thermodynamik, statistische Physik und Farbtheorie. 1921 erhält er schließlich nach kurzen Stationen in Jena, Stuttgart und Breslau einen Ruf nach Zürich als Professor für Theoretische Physik. Zusehends beschäftigt er sich mit den neuen Entwicklungen in der Atom- und Quantenphysik. Angeregt hat ihn die Arbeit des französischen Physikers Louis de Broglie, der Materie, bis dato als Teilchen beschrieben, auch Eigenschaften einer Welle zuerkennt.

Physik: Leben wir in einem Multiversum?
Leben wir in einem Multiversum?
© Video: GEO

1925 ist Erwin Schrödinger bereits 38 Jahre alt, und er fragt sich, ob er es noch schaffen wird, etwas Großes für sein Fach beizusteuern. 30 Jahre gelten etwa als Grenze, jenseits derer die Kreativität bei Theoretiker*innen in der Physik schwindet. Der Urlaub in Arosa bringt für Schrödinger die Wende: Die Gleichung, mit der sich die Entwicklung eines Quantensystems präzise beschreiben lässt, katapultiert ihn auf den Olymp der Physik. 

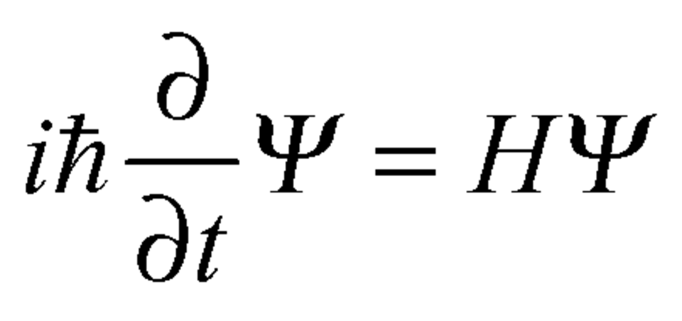
Die Schrödingergleichung entspricht einer typischen Bewegungsgleichung, wie sie in der Physik häufig vorkommt: Um zu verstehen, wie ein Quantenobjekt (griechischer Buchstabe Psi) sich zeitlich verhält (linke Seite: Ableitung nach der Zeit t), muss man wissen, welchen Energien (rechte Seite H) es in der Welt ausgesetzt ist. Revolutionär ist, wie Schrödinger das Quantenobjekt beschreibt: Als eine Überlagerung verschiedener Wellen, die unterschiedlichen Zuständen entsprechen. Beobachten lassen sich die Wellen von Psi nicht: Bei einem Experiment verschwinden sie auf wundersame Weise
Die Schrödingergleichung entspricht einer typischen Bewegungsgleichung, wie sie in der Physik häufig vorkommt: Um zu verstehen, wie ein Quantenobjekt (griechischer Buchstabe Psi) sich zeitlich verhält (linke Seite: Ableitung nach der Zeit t), muss man wissen, welchen Energien (rechte Seite H) es in der Welt ausgesetzt ist. Revolutionär ist, wie Schrödinger das Quantenobjekt beschreibt: Als eine Überlagerung verschiedener Wellen, die unterschiedlichen Zuständen entsprechen. Beobachten lassen sich die Wellen von Psi nicht: Bei einem Experiment verschwinden sie auf wundersame Weise

Schrödinger erhält enthusiastischen Zu- und heftigen Widerspruch von nobelpreisprämierten Kollegen: Albert Einstein etwa schreibt ihm, "der Gedanke Ihrer Arbeit zeugt von echter Genialität!", der deutsche Physiker Werner Heisenberg findet den physikalischen Teil von Schrödingers Theorie schlichtweg "abscheulich".

In der Folge entwickelt sich eine heftige Kontroverse um die Interpretation der jungen Quantenmechanik. Schrödinger lehnt die Vorstellungen von Heisenberg und Niels Bohr ab, dass Quantenzustände sich überlagern können und erst durch die Beobachtung eindeutig werden. Das sei blanker Unsinn, sagt er und ersinnt sein berühmtes Gedankenexperiment: Schrödingers Katze, die Bohrs Ideen zufolge zugleich tot und lebendig sein könne.

Die Debatte dauert an. Einmal, so erzählt man sich, ist Schrödinger so verärgert, dass er über die Quantenmechanik sagt: "Ich mag sie nicht, und es tut mir leid, dass ich jemals etwas mit ihr zu tun hatte."

Erwin Schrödinger aber wird noch eine zweite Naturwissenschaft inspirieren: 1944 – er lebt mittlerweile in Dublin, nachdem er vor den Nazis erst aus Berlin, dann aus Graz geflohen ist – veröffentlicht er einen populärwissenschaftlichen Bestseller: In "What Is Life?" schreibt der Quantenphysiker über den genetischen Code des Lebens. Er bringt damit eine Reihe genialer junger Köpfe auf eine Spur, die Jahre später zur Entschlüsselung der DNA und der Begründung der Molekulargenetik führt.